Journal of Pediatric Cardiology and Cardiac Surgery

Online ISSN: 2433-1783 Print ISSN: 2433-2720
Japanese Society of Pediatric Cardiology and Cardiac Surgery
Japanese Society of Pediatric Cardiology and Cardiac Surgery Academy Center, 358-5 Yamabuki-cho, Shinju-ku, Tokyo 162-0801, Japan
Journal of Pediatric Cardiology and Cardiac Surgery 6(1): 6-10 (2022)
doi:10.24509/jpccs.21-022

Original ArticleOriginal Article

Psychiatric Disorders in Patients with 22q11.2 Deletion Syndrome Concomitant with Congenital Heart Disease in Japan

1Department of Cardiology, Tokyo Metropolitan Children's Medical Center ◇ Tokyo, Japan

2Department of Pediatric Cardiology and Adult Congenital Cardiology, Tokyo Women’s Medical University ◇ Tokyo, Japan

3Department of Pediatrics, Nippon Medical School Tama Nagayama Hospital ◇ Tokyo, Japan

4Department of Pediatrics, Toho University Omori Medical Center ◇ Tokyo, Japan

5Department of Development Strategy, Center for Clinical Research and Development, National Center for Child Health and Development ◇ Tokyo, Japan

6Department of Pediatric Cardiology, Sakakibara Heart Institute ◇ Tokyo, Japan

7Department of Pediatrics, Keio University School of Medicine ◇ Tokyo, Japan

8Department of Pediatrics, The University of Tokyo Hospital ◇ Tokyo, Japan

受付日:2021年6月19日Received: June 19, 2021
受理日:2021年8月27日Accepted: August 27, 2021
発行日:2022年1月31日Published: January 31, 2022
HTMLPDFEPUB3

Background: Since most patients with 22q11.2 deletion syndrome (22q11DS) have congenital heart defects (CHD), they are usually followed by pediatric cardiologists. Throughout their life, about two-thirds of patients with 22q11DS suffer from developmental and psychiatric disorders. In this setting, pediatric cardiologists may be the first health care providers who need to identify psychiatric problems, but the actual state of psychiatric care in routine cardiology check-up remains unknown.

Patients and Methods: We retrospectively reviewed the numbers of 22q11DS patients with both psychiatric disorders and CHD in 12 collaborating facilities specialized in CHD in Japan (primary survey). In two elective hospitals where a comprehensive healthcare program for patients with 22q11DS has been provided, further surveys were carried out to collect detailed information regarding the clinical profile of psychiatric disorders and CHD (secondary survey).

Results: Two hundred and twenty-two patients with 22q11DS and CHD were reported to have psychiatric disorders. While thirty-nine out of 222 patients (18%) received specialized care by psychiatrists, the rest (82%) were followed by pediatric cardiologists in the primary survey. Twenty-seven patients were included in the secondary survey, and 26 patients (96%) were treated for psychiatric problems by psychiatrists. The median age at onset of psychiatric disorders was 24 years, and 59% of them were diagnosed with schizophrenia.

Conclusions: In this nationwide survey, most of pediatric cardiologists did not consult experts about psychiatric problems of 22q11DS. Aiming to improve prognosis, early collaboration with psychiatrists is necessary for pediatric cardiologists facing psychiatric disorders, especially schizophrenia.

Key words: psychiatric disorders; schizophrenia; congenital heart disease; 22q11.2 deletion syndrome

Introduction

22q11.2 deletion syndrome (22q11DS) is one of the most common chromosomal abnormalities with an estimated incidence of 1 in 4,000–5,000 live births, and it involves a heterozygous deletion within chromosome 22q11.2.1) Approximately 80% of these cases are accompanied by congenital heart disease (CHD) and conotruncal cardiac defects such as tetralogy of Fallot (TOF), persistent truncus arteriosus, and aortic arch anomalies such as interrupted aortic arch type B are characteristic of this syndrome. In addition, 22q11DS is associated with extracardiac defects, including craniofacial anomalies, parathyroid dysfunction, and immune defects. Neurodevelopmental disorders, such as mental retardation, cognitive deficits, and learning disabilities, are also common in childhood.1) Subsequently, neuropsychiatric disorders, including intellectual disability, attention deficit hyperactivity disorder, autism spectrum disorder, anxiety disorder, and schizophrenia are frequently observed from adolescence to adulthood. The early onset of Parkinson’s disease is also reported to be associated with 22q11DS.2) In particular, schizophrenia is the most common psychiatric disorder, affecting approximately 25–40% of adult patients with 22q11DS and increases its frequency over time.1–3) Inappropriate management of these psychiatric problems may worsen the quality of life of patients. Pediatric cardiologists may unexpectedly encounter psychiatric problems during regular cardiology check-up for patients with 22q11DS. In this setting, specific knowledge of psychiatric complications of this syndrome is required for optimal mental care, even for pediatric cardiologists. However, clinical research focused on taking care of psychiatric disorders from the viewpoint of the pediatric cardiology field is scarce.

To delineate the actual state of psychiatric care of 22q11DS in pediatric cardiology, we performed a nationwide survey of the number of psychiatric patients with 22q11DS and CHD, and subsequently studied the clinical characteristics of psychiatric disorders in selected patients in two specialized facilities with a comprehensive management program of 22q11DS patients.

Patients and Methods

The Committee for Genetics and Epidemiology of Cardiovascular Disease in the Japanese Society of Cardiology and Cardiovascular Surgery conducted a retrospective cohort study. First, we sent questionnaires to 94 facilities for pediatric cardiology that asked about the number of psychiatric patients with 22q11DS and CHD and the involvement of psychiatrists in regular check-ups (primary survey). Twelve institutions responded to the primary survey. This study network included two specialized facilities providing comprehensive care for patients with 22q11DS, namely Tokyo Women’s Medical University and Keio University School of Medicine. In these two institutions, detailed psychiatric profiles of a subset of study patients were collected, including a diagnosis of psychiatric disorders, history of epilepsy, diagnosis and treatment of CHD, family history, age at onset, school and working history, and social support (secondary survey). Student’s t-test was used for two-group comparison, and p<0.05 was defined as significant. The secondary survey was reviewed and approved by the ethical review boards of the two study institutions. The approval numbers were 3436 and 20180348, respectively.

Results

Primary Survey

Two hundred and twenty-two patients with 22q11DS from 12 institutions were reported to have psychiatric disorders in addition to CHD. The response rate of this survey was 13% (12 out of 94 institutions). Thirty-nine out of 222 patients (18%) were also managed by psychiatric care providers, including psychiatrists and psychosomatic physicians.

Secondary Survey

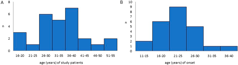
Twenty-seven patients with psychiatric disorders and 22q11DS were registered at the Tokyo Women’s Medical University and Keio University School of Medicine, including 10 males (37%) and 17 females (63%). The median age in this study was 34 years (range, 19–51 years) (Fig. 1A). The median age at the onset of psychiatric disorders was 24 years (range, 14–37 years) (Fig. 1B).

Journal of Pediatric Cardiology and Cardiac Surgery 6(1): 6-10 (2022)

Fig. 1 Age distribution of study patients and the onset of psychiatric disorders

(A) Age distribution of study patients. (B) Age distribution of study patients at the onset of psychiatric disorders.

The most common psychiatric disorder was schizophrenia, which was diagnosed in 16 of 27 patients (59%), followed by anxiety and adjustment disorders (Fig. 2). Twenty-six patients (96%) were diagnosed and managed by the corresponding psychiatrists. Full-scale intelligence quotient (IQ) was analyzed in 15 patients. The median IQ was 58, ranging from 37 to 103 (Fig. 3), and intellectual disability, defined as an IQ of less than 70, was found in 11 of 15 patients (73%). In this study, the performance and verbal IQ were not available. Family history was obtained in nine patients, and none of them had parents or relatives that had psychiatric disorders. No obvious family history of 22q11DS was reported in the study patients. Eleven of 14 patients (79%) replied that their educational history involved going to ordinary classes from elementary school through high school. Four patients (29%) experienced school refusal. Twenty-five of 27 patients answered the employment status, and 16 of 25 (64%) patients had working experience that consisted of jobs for handicapped in eight patients (30%) and community workshops in eight patients (30%).

Journal of Pediatric Cardiology and Cardiac Surgery 6(1): 6-10 (2022)

Fig. 2 Details of psychiatric disorders in study patients

Journal of Pediatric Cardiology and Cardiac Surgery 6(1): 6-10 (2022)

Fig. 3 Full-scale intelligent quotient distribution of study patients

TOF was the most common defect found in 19 out of 27 patients (70%), followed by ventricular septal defect in four patients (15%) (Fig. 4). Those patients with TOF included eight patients (30%) with pulmonary atresia with ventricular septal defect (PAVSD), and four patients with PAVSD (50%) received pulmonary blood flow through major aortopulmonary collateral arteries (MAPCA) (Fig. 4). The median IQ in patients with TOF was 59 compared to 68 in patients with other CHDs, which was not significantly different (p=0.23). PAVSD is a complex type of CHD; however, the median IQ of PAVSD was not significantly different from that of other CHDs (65 vs. 58, p=0.54).

Journal of Pediatric Cardiology and Cardiac Surgery 6(1): 6-10 (2022)

Fig. 4 Details of congenital heart defects of study patients and subclassification of patients with tetralogy of Fallot

ASD, atrial septal defect; ccTGA, congenitally corrected transposition of great arteries; PAVSD MAPCA, pulmonary atresia with ventricular septal defect and major aortopulmonary collateral arteries; PAVSD PDA, pulmonary atresia with ventricular septal defect and patent ductus arteriosus; PS, pulmonary stenosis; PTA, persistent truncus arteriosus; TOF, tetralogy of Fallot; TOF AVSD, tetralogy of Fallot and atrioventricular septal defect; TOF PS, tetralogy of Fallot with pulmonary stenosis; VSD, ventricular septal defect.

Discussion

Since most patients with 22q11 DS are frequently associated with CHD, they are usually followed by pediatric or adult cardiologists from infancy to adulthood. In this setting, cardiologists may be the first healthcare provider to face the onset of psychiatric disorders and are required to take care of these complications along with CHD. However, there have been few reports describing psychiatric diseases in 22q11DS from the viewpoint of pediatric cardiologists. In the primary survey, we investigated the characteristics of psychiatric disease in 22q11DS patients cared for in Japanese institutions specializing in CHD through the network of the Japanese Society of Cardiology and Cardiovascular Surgery. It showed that psychiatric problems in patients with 22q11DS were not appropriately referred to psychiatric specialists, although its reason was not fully evaluated.

The primary survey included a limited number of study patients due to a low response rate and may not reflect the psychiatric profile of patients with 22q11DS. The age of study patients was distributed from early adolescence to middle age, and the mean age of onset of psychiatric disorders was 24 years, which was consistent with previous studies.4, 5) Only 18% of study patients were treated by psychiatrists in the primary survey, suggesting that in almost 80% of cases, pediatric cardiologists may follow psychiatric problems as well as CHD. A systematic review of the phenotype of adult patients with 22q11DS showed that 80 out of 126 study patients (63%) did not evaluate psychiatric problems by specialists,6) suggesting that most patients with 22q11DS were not followed up by psychiatrists. In previous reports, prompt seeking experts help in diagnosis and effective intervention was recommended for better long-term prognosis.7, 8) In contrast, 96% of patients with 22q11DS received specialized care by a psychiatrist in the secondary survey. Since the two institutions that completed the secondary survey are specialized in comprehensive care for patients with 22q11DS, those who have psychiatric disease along with CHD might accumulate.

In this study, the median full-scale IQ was 58, which is mildly low in the IQ range comparable to previous reports showing the distribution of IQ from borderline to mildly low range in most 22q11.2DS. Learning difficulties are quite common, especially in the domains of mathematics, while language skill is not relatively impaired, resulting in an unfavorable impact on school life.4, 5) It is essential to continuously access intelligence quality from preschool and support learning disabilities, for example, by encouraging them to expand their strengths and lowering psychological stress.1)

In this study, almost 60% of the psychiatric disorders were schizophrenia. Schizophrenia is a characteristic psychiatric disorder in 22q11DS and is diagnosed in almost 25% of adult patients with 22q11DS. The frequency of schizophrenia in 22q11DS patients is 20 times higher than that in the general population.7) In addition, deletion of 22q11 is detected in 5% of patients with schizophrenia, suggesting that the chromosomal region of 22q11 may be a genetic risk factor for schizophrenia.3, 7) Although the detailed manifestations of schizophrenia have not been investigated in study patients, clinical characteristics of schizophrenia associated with 22q11DS are reported to be essentially the same as schizophrenia in the general population.2, 7)

The most common CHD in 22q11DS patients with psychiatric disease was TOF, accounting for about 70% of study patients, and half of them were PAVSD. PAVSD with MAPCA is a more complex CHD, requiring several staged operations until intracardiac repair and often suffers from postoperative complications even after the final repair. Full-scale IQ was not significantly lower in patients with PAVSD than in those with other CHDs, suggesting that the complexity of CHD is not directly associated with intellectual function. Nevertheless, concomitant schizophrenia might impair the understanding and motivation toward longstanding treatment for PAVSD with MAPCA and may affect the clinical outcome.

In this study, more than half of the patients with CHD and psychiatric disease were able to graduate from ordinary school and be employed, but some of them developed school refusal and unemployment. Since 22q11DS patients with mild CHD or repaired CHD appear to be overall healthy, they may not be recognized as congenitally handicapped and receive enough supportive care. Especially in adolescence, an unfavorable impact on mental status may develop due to environmental changes such as entrance into or graduation from school and employment. It is essential for even repaired CHD patients to continue cardiac check-ups and to evaluate mental aspects regularly.

Conclusion

Psychiatric problems in patients with 22q11DS with CHD were not appropriately referred to psychiatrists in most of Japanese institutions specializing in CHD. The psychiatric care was provided in the limited hospitals. Since schizophrenia commonly develops in adolescence in 22q11DS, pediatric cardiologists need to consider psychiatric consultation at regular cardiac check-up in patients with 22q11DS when they encounter psychiatric concerns.

謝辞Acknowledgments

We appreciate the 12 institutions that joined and the investigators of the Committee for Genetics and Epidemiology of Cardiovascular Disease in the Japanese Society of Pediatric Cardiology and Cardiovascular Surgery as follows (numbers of study patients in the parenthesis): Department of Pediatric Cardiology, Tokyo Women’s Medical University (121), Masaki Sato and Kei Inai ; Department of Pediatrics, Keio University School of Medicine (24), Yu Yoshida, Jun Maeda and Hiroyuki Yamagishi; Department of Cardiology, Tokyo Metropolitan Children’s Medical Center (21), Hirotaka Ohki; Department of Pediatrics, JCHO Kyushu Hospital (12), Jun Muneuchi; Department of Pediatrics, Gifu Prefectural General Medical Center (9), Takashi Kuwabara; Department of Pediatrics, Ogaki Municipal Hospital (5), Eiki Nishihara; Department of Pediatrics, Kurashiki Central Hospital (5), Kenji Waki; Department of Cardiology, National Center for Child Health and Development (4), Yasushi Misaki and Hiroshi Ono; Department of Pediatrics, Toho University Omori Medical Center (3), Hiroyuki Matsuura; Department of Pediatrics, Tokushima University School of Medicine (3), Yasunobu Hayabuchi; Department of Pediatrics, Omura Municipal Hospital (3), Hidetaka Teshima; Department of Pediatrics, Kurume University School of Medicine (2), Kenji Suda.

Disclosure Statement

All authors have no conflict of interest.

This page was created on 2022-01-05T08:44:16.802+09:00
This page was last modified on 2022-01-24T19:29:20.000+09:00


このサイトは(株)国際文献社によって運用されています。